Friday April 2026

হটলাইন

কনটেন্টটি শেষ হাল-নাগাদ করা হয়েছে: শুক্রবার, ১৩ সেপ্টেম্বর, ২০১৩ এ ০৬:৪৮ PM

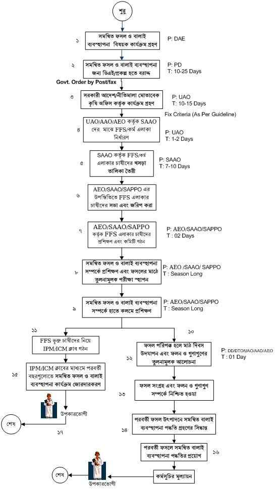
সমন্বিত রোগ ব্যবস্থাপনা

কন্টেন্ট: সেবা এবং ধাপ

ফাইল ১

এক্সেসিবিলিটি

স্ক্রিন রিডার ডাউনলোড করুন